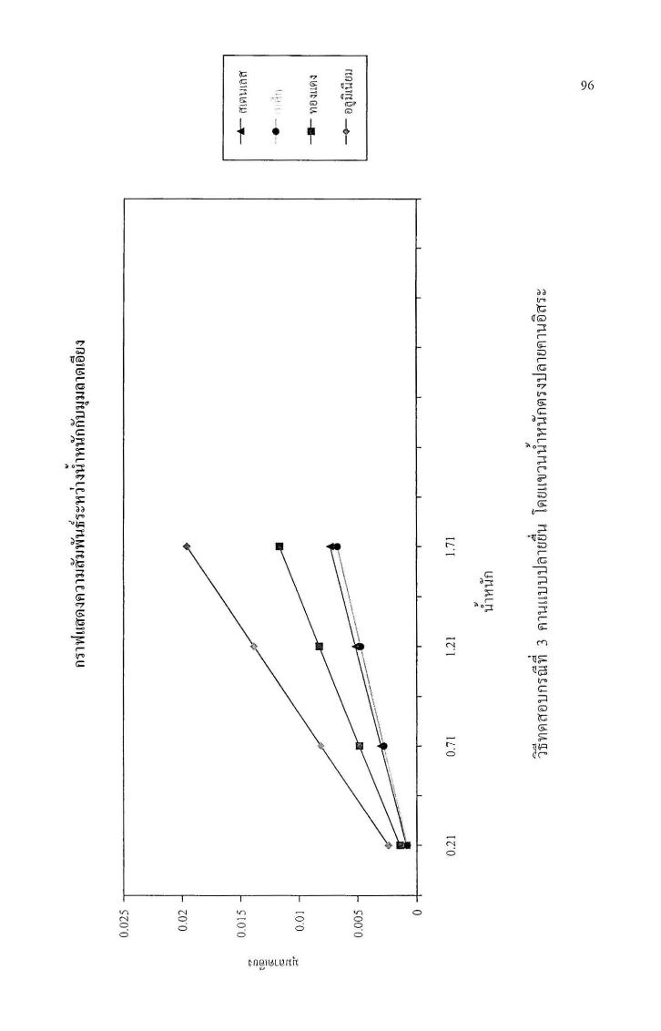
Page 233 - เรื่อง อุปกรณ์ทดสอบการโก่งของคาน

Basic HTML Version

l::;
~
s
~
~
';1
96
'"
,;;
iC
'"
"',
:;:
'"
+
I
+
t
i
"
Iro
(c;
Q«J
;:l
r
"7
e>:
'"
;;:)
vr.>
r
G:
(CO
:ti
-;:l
"7
;;;
Iro
;;;.
e;:
~E
c;:
';:l
~~
:s:
",oS
~
;:l
'0;;:
r
"7
~
,...
- r
;5
:;::
e;:
..
.-
If"
~ IR
;:l
~~
·V;;:)
r-:
;;:)
~S
r
(CO
;;;
c;:
-;:l
,...
';:<
;::l
r
:s:
~
e>:
"7
01
oS
;:l
G:
!!::
r
e>:
-j:
,...
N
M
If"
·v;;::
c;:
va
Iro
c;:
;::l
«J
(c;
e;:
;;::
r-
VIR
6
Qr
N
6
V)
N
V)
0
N
0
0
0
0
0
0
0
0
0
0
0
t-o~ll~LI.Hth